1. Bovenwettelijke vakantiedagen
Voltijds werknemers hebben recht op 20 vakantiedagen per jaar die verplicht opgenomen moeten worden in dat jaar (een enkele uitzondering daargelaten). Als een werkgever meer dan deze 20 wettelijke vakantiedagen hanteert, dan kan er voor gekozen worden deze vakantiedagen al dan niet regelmatig uit te betalen zonder dat daar vrije tijd tegenover staat.
Onderstaande stappen beschrijven hoe FlexService kan worden ingericht om bovenwettelijke vakantiedagen direct uit te betalen.
2. Componenten
Nu worden de component reservering vakantiedagen om te reserveren voor de wettelijke- en bovenwettelijke vakantiedagen samen gebruikt. Als er voor wordt gekozen om de bovenwettelijke vakantiedagen direct uit te betalen of uit te ruilen in het kader van een ET-regeling, dan moet de reservering vakantiedagen gesplitst worden in een reservering voor de wettelijke vakantiedagen en een reservering voor de bovenwettelijke vakantiedagen.
Voor de wettelijke vakantiedagen gebruikt men het component reservering vakantiedagen. Dit component is ingericht bij de initiële inrichting van FlexService. Enkel het reserveringspercentage dient te worden aangepast in de modellen waar de opsplitsing moet worden gehanteerd.
3. Reservering vakantiedagen bovenwettelijk
De bovenwettelijke vakantiedagen worden gereserveerd middels het component reservering bovenwettelijke vakantiedagen. Omdat dit component waarschijnlijk voor het eerst wordt gebruikt, zal dit moeten worden ingericht. Dit kan middels de volgende stappen:
a. De verantwoording aanpassen;
b. De component toevoegen aan de modellen waar de splitsing moet worden gehanteerd;
c. Het percentage in de modellen invullen.
a. Verantwoording aanpassen
Voor het aanpassen van de verantwoording van het component reservering bovenwettelijke vakantiedagen ga je naar de module Component, categorie Reserveringen, component reservering bovenwettelijke vakantiedagen, alias reservering bovenwettelijke vakantiedagen
Bij Grootboek Kosten vul je in ieder geval in dat dit tijdens de Verloning, Debet geboekt moet worden. Het te gebruiken grootboekrekeningnummer en de eventuele verbijzondering bepaal je zelf.
Bij Grootboek Reserveringen vul je in ieder geval in dat dit tijdens de Verloning, Credit geboekt moet worden. Het te gebruiken grootboekrekeningnummer en de eventuele verbijzondering bepaal je zelf.
Het ligt niet voor de hand, maar mocht je deze reservering handmatig willen kunnen beïnvloeden middels het inboeken van reserveringen, dan kan dit bij Grootboek Kosten (bij/afboeking) aangegeven worden dat dit tijdens de Verloning, Debet geboekt moet worden. Het te gebruiken grootboekrekeningnummer en de eventuele verbijzondering bepaal je zelf.
b. Het component toevoegen aan de modellen waar de splitsing moet worden gehanteerd;
De modellen waar de splitsing moet worden gehanteerd, moeten het component reservering vakantiedagen bovenwettelijk bevatten. In de module Model, categorie Componentmodellen, kies je onder een basismodel een model waaraan je het component toe wilt voegen. In het tabblad Componentmodel kijk je of het component reservering vakantiedagen bovenwettelijk ontbreekt. Als dat zo is, dan voeg je het toe door de knop Toevoegen te selecteren en in de lijst met componenten die dan verschijnt in de categorie reserveringen, component reservering vakantiedagen bovenwettelijk, de alias met dezelfde naam te selecteren. Deze stap voer je uit voor elk van de modellen waarin je de splitsing wilt hanteren.
c. Het percentage in de modellen invullen
Reservering bovenwettelijke vakantiedagen
Afhankelijk van het aantal bovenwettelijke vakantiedagen vul je in het model een percentage in. Dit percentage wordt als volgt vastgesteld:
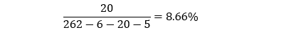
Voor 2024 zijn er 262 werkbare dagen en 6 feestdagen op een werkbare dag. Met 20 wettelijke vakantiedagen kun je het reserveringspercentage voor bovenwettelijke vakantiedagen bepalen. Bij 5 bovenwettelijke vakantiedagen wordt het reserveringspercentage:
Reservering wettelijke vakantiedagen
Je zult ook het percentage moeten aanpassen bij het component reservering vakantiedagen. Dit percentage stel je vast met:
Voor 2024 wordt het reserveringspercentage bij 5 bovenwettelijke vakantiedagen:
4. Betaalde vakantiedagen bovenwettelijk
Om de bovenwettelijke vakantiedagen daadwerkelijk uit te betalen dien je het component betaalde vakantiedagen bovenwettelijk in te richten. Dit kan via de volgende stappen:
a. De verantwoording aanpassen;
b. Het component toevoegen aan de modellen waar de splitsing moet worden gehanteerd.
a. De verantwoording aanpassen;
Voor het aanpassen van de verantwoording van het component betaalde vakantiedagen bovenwettelijk ga je naar de module Component, categorie Opnames reservering, component betaalde bovenwettelijke vakantiedagen, alias betaalde bovenwettelijke vakantiedagen.
Bij Grootboek Reserveringen vul je in ieder geval in dat dit tijdens de Verloning, Debet geboekt moet worden. Het te gebruiken grootboekrekeningnummer en de eventuele verbijzondering bepaal je zelf.
b. Het component toevoegen aan de modellen waar je de splitsing wilt hanteren
De modellen waar je de splitsing wilt hanteren moeten het component betaalde vakantiedagen bovenwettelijk bevatten. In de module Model, categorie Componentmodellen, kies je onder een basismodel een model waaraan je het component toe wilt voegen. In het tabblad Componentmodel kijkt je of het component betaalde vakantiedagen bovenwettelijk ontbreekt. Als dat zo is, dan voeg je het toe door de knop Toevoegen te selecteren en in de lijst met componenten die dan verschijnt in de categorie opnames reservering, component betaalde bovenwettelijke vakantiedagen, de alias met dezelfde naam te selecteren.
Omdat de bovenwettelijke vakantiedagen direct uitbetaald moeten worden dient bij elke verloning het saldo van dat moment opgenomen te worden. Daarom moet de parameter Saldo opnemen op Ja staan. Dit kan gecontroleerd worden door het component betaalde bovenwettelijke vakantiedagen te selecteren nadat deze is toegevoegd aan een model en dan op eigenschappen te klikken.
Zowel het toevoegen van de component aan de modellen als de controle dienen uitgevoerd te worden voor elk van de modellen waarin je de splitsing wilt hanteren.
5. Direct uitbetalen bovenwettelijke vakantiedagen
Bij het verlonen van declaraties van een contract dat gebaseerd is op een model waaraan je de componenten reservering bovenwettelijke vakantiedagen en betaalde bovenwettelijke vakantiedagen hebt toegevoegd en waarvoor je een percentage hebt ingevuld bij reservering vakantiedagen bovenwettelijk, zal de reservering direct uitbetaald worden. Deze uitbetaling wordt volgens de tabel belast.
Opmerkingen
0 opmerkingen
Artikel is gesloten voor opmerkingen.